• CSIR NET COURSE


Complex Analysis: RPSC Assistant Professor 2026 Expert Tips

Complex Analysis
Table of Contents
Get in Touch with Vedprep

Get an Instant Callback by our Mentor!


Complex Analysis explores functions that utilize complex numbers, concentrating on analytic functions, expansion series, and calculus operations within the complex plane. This domain supplies vital techniques for resolving integrals by means of Cauchy’s Theorem and Contour Integration. It functions as a fundamental element for the RPSC Assistant Professor Maths Syllabus and engineering mathematics.

Fundamentals of Analytic Functions in Complex Analysis

Analytic Functions form the foundation of Complex Analysis. A function is considered analytic at a location if it possesses differentiability within some surrounding area of that spot. These functions are required to fulfill the Cauchy-Riemann equations. If f(z) = u(x, y) + iv(x, y), then the partial derivatives must meet specific criteria. Specifically, ux = vy and uy = -vx.

You will find that analytic functions possess derivatives of all orders in Complex Analysis. This property distinguishes them from real-valued differentiable functions. In the context of the RPSC Assistant Professor Maths Syllabus, understanding the harmonic nature of the real and imaginary parts is vital. If a function is analytic, both u and v satisfy Laplace’s equation. This relationship allows you to construct an entire analytic function from only its real or imaginary part using the Milne-Thomson method.

Cauchy’s Theorem and Integral Formulae

Cauchy’s Theorem is foundational to Complex Analysis. It asserts that should a function be analytic throughout and upon a simple closed curve, the integral of that function along the curve amounts to zero. This finding streamlines the computation of complex path integrals. It underlies more sophisticated integration methods employed in physics and fluid dynamics.

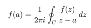
Cauchy’s Integral Formulae extend this concept to find the value of an analytic function inside a contour in Complex Analysis. If you know the values of f(z) on the boundary, you can determine f(z) at any interior point. The formula is expressed as:

Cauchy's Theorem

This expression shows that the values of an analytic function are linked across its domain. For the RPSC Assistant Professor Maths Syllabus, you must apply these formulae to calculate higher-order derivatives by differentiating under the integral sign.

Power Series and Laurentโ€™s Series Expansions

.Power Series expansions enable the expression of analytic functions as endless summations. A Power Series converges inside a circular area determined by its radius of convergence. Inside this boundary, the series acts similarly to a polynomial. You have the option to take derivatives or integrals of the series term by term. This establishes Power Series as a fundamental method for estimating intricate values.

Laurent’s Series expands this idea to functions with singularities in Complex Analysis. While a Taylor series uses only positive powers, a Laurentโ€™s Series includes negative powers. This expansion is valid in an annular region between two concentric circles. The principal part of the Laurentโ€™s Series, which contains the negative powers, determines the behavior of the function near a singularity.

  • 1. Taylor Series: Used for functions analytic at a point.
  • 2. Laurentโ€™s Series: Used for functions with isolated singularities.

Singularities and the Theory of Residues

Singularities are points where a function fails to be analytic. In Complex Analysis, you classify these as removable, poles, or essential singularities. A pole of order $n$ occurs when the (z – a)-n term is the highest negative power in the Laurent expansion. Identifying these points is the first step in applying the Theory of Residues.

Points where a function stops being analytic are known as singularities. Within Complex Analysis, these are categorized as either removable, poles, or essential singularities. A pole of order $n$ is present when the (z – a)-n term represents the greatest negative power in the Laurent series expansion. Pinpointing these locations is the initial move for utilizing the Residue Theorem.

The Theory of Residues provides a shortcut for evaluating contour integrals. The residue of a function at a singularity is the coefficient of the (z – a)-1 term in its Laurent expansion. According to the Residue Theorem:

Singularities and the Theory of Residues

This proposition simplifies intricate integration into a technique of locating residues. For pupils adhering to the RPSC Assistant Professor Maths Syllabus, becoming proficient in computing residues at singular and repeated poles is crucial for achieving exam triumph.

Complex Transformations and Mapping

Mรถbius Transformations translate points from the z-plane to the w-plane. These conformal mappings maintain the angular relationships between curves, which is advantageous for tackling boundary value challenges. A frequent example is the Mรถbius Mapping, sometimes termed a Bilinear Mapping. Such transformations convert circles and straight paths into other circles or straight paths.

These mappings are employed to streamline geometric problems. For instance, a transformation might take an infinite band or a section of a plane and convert it into a circle of unit radius. This process of simplification enables solving an issue within a less complex region before translating the result back to the initial setting. Identifying the fixed points under these transformations is a recurrent concept in advanced mathematics.

Advanced Contour Integration Techniques

Contour Integration serves as the tangible use of the Residue Theorem for calculating real definite integrals within Complex Analysis. Numerous integrals spanning from negative infinity to positive infinity, proving hard to tackle using real calculus methods, become readily solvable in the complex domain. One selects a closed path, perhaps a semicircle or a rectangular circuit, and examines the function’s performance as this boundary is enlarged.

This technique frequently employs Jordan’s Lemma to demonstrate that specific portions of the integral dissipate as they approach infinity. Summing the residues at the poles situated in the upper half-plane yields the value of the integral along the real axis. This technique is a major component of the RPSC Assistant Professor Maths Syllabus. It requires precision in choosing the correct path and identifying all poles within the chosen boundary.

Critical Perspective: Limits of Cauchy’s Theorem

A frequent oversight in Complex Analysis involves supposing Cauchy’s Theorem holds for every closed curve. The theorem mandates that the function must be analytic throughout the region enclosed by the contour. Should even one singular point reside within the boundary, the resulting integral will not vanish.ย  You must verify analyticity before applying the theorem.

The theorem fails if the contour is not simple or if the region is not simply connected. In multiply connected regions, such as a disk with a hole, you must introduce branch cuts or modify the path in Complex Analysis. Relying on the theorem without checking these topological constraints leads to incorrect results in electromagnetic field calculations and fluid flow modeling.

Practical Application: Signal Processing

Complex Analysis finds application in digital signal processing via the Z-transform. Practitioners apply Power Series to map discrete-time signals into a representation within the complex frequency domain. This facilitates the assessment of system stability. A system is deemed stable when the poles of its transfer function reside within the unit circle. This tangible application of poles and residues illustrates how abstract complex theory underpins contemporary communication technology.

Fundamental Equations of Analytic Functions

To satisfy the conditions of analyticity within the complex plane, a function must meet the requirements of the Cauchy-Riemann equations.

1. Cauchy-Riemann Equations

Cauchy-Riemann Equation

Core Integration Theorems

These numerical expressions represent the foundational rules for calculating path integrals in Complex Analysis.

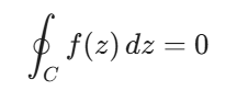
2. Cauchyโ€™s Theorem If f(z)ย is analytic in a simply connected domain, then for any simple closed contour C:

Cauchyโ€™s Theorem

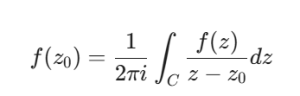
3. Cauchyโ€™s Integral Formula

This formula determines the value of an analytic function at an interior point $a$ based on its values on the boundary C:

Cauchyโ€™s Integral Formula

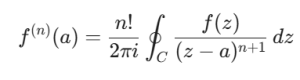
4. Cauchyโ€™s Integral Formula for Higher Derivatives

Generalizing the integral formula allows for the calculation of the n-th derivative at point a:

Cauchyโ€™s Integral Formula for Higher Derivatives

Series and Residue Theory

Residue calculus simplifies integration by focusing on the coefficients of the expansion near singularities.

5. Residue at a Simple Pole

For a function with a simple pole at z = a:

Residue at a Simple Pole

6. Cauchyโ€™s Residue Theorem

The total integral around a closed curve equals the sum of the residues of the singularities enclosed by that curve:

Cauchyโ€™s Residue Theorem

7. Taylor Series Expansion

Valid for a function analytic at all points within a circle centered at a:

Taylor Series Expansion

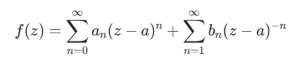
8. Laurentโ€™s Series Expansion

Valid in an annular region r < |z-a| < R:

Laurentโ€™s Series Expansion

Mapping and Bound Theorems

These expressions govern the behavior and transformation of complex functions.

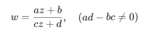
9. Bilinear (Mobius) Transformation

A mapping used to transform circles and lines in the complex plane:

Bilinear (Mobius) Transformation

10. Liouvilleโ€™s Theorem

A statement on the limitations of bounded entire functions:

Ifย  |f(z)| โ‰คM for all z โˆˆ C, then f(z)ย is constant.

Conclusion

Grasping the fundamentals of Complex Analysis is essential for success in advanced math tests and theoretical physics. Grasping the strict characteristics of analytic functions and utilizing Cauchyโ€™s Theorem enables you to tackle problems that are beyond the reach of standard real calculus. A thorough exploration of Power Series and Residue Theory furnishes the exactness necessary for cutting-edge inquiry and high academic benchmarks. VedPrep provides focused materials and organized support to assist you in maneuvering these mathematical areas efficiently. Cultivating a strong feel for contour integration and complex mappings ensures readiness for the intricate requirements of the RPSC Assistant Professor Maths Syllabus and further studies.

To learn more on Complex Analysis from our specialized faculty, watch our Youtube video:

Frequently Asked Questions (FAQs)

Analytic Functions are functions differentiable at every point in a specific region of the complex plane. You identify these functions by checking if they satisfy the Cauchy-Riemann equations. These functions have continuous derivatives of all orders. They are the primary objects of study in Complex Analysis and engineering math.

Cauchy's Theorem states the integral of an analytic function around a closed path is zero. You apply this theorem to simplify complex integration. It requires the function to be analytic throughout the region enclosed by the path. This principle forms the foundation for residue theory and evaluation.

Power Series represent analytic functions as infinite sums of terms. You use these series to approximate function values within a radius of convergence. Every analytic function has a Taylor series expansion at any point in its domain. This representation allows for term by term differentiation and integration.

Contour Integration is a method of evaluating integrals along paths in the complex plane. You use this technique to solve real definite integrals that are difficult for standard calculus. By choosing appropriate paths and applying the Residue Theorem, you find exact values for improper integrals and transformations.

You verify these equations by taking partial derivatives of the real and imaginary parts of a function. For a function f(z) = u + iv, you check if uxย equals vy and uyย equals -vx. Satisfying these conditions is necessary for a function to be analytic at a point.

To calculate a residue at a simple pole $a$, you multiply the function f(z) by (z - a). You then take the limit as z approaches a. This value represents the coefficient of the (z - a)-1ย term in the Laurent series. This constant is essential for the Residue Theorem.

You apply a Laurent Series expansion when a function has a singularity in the region of interest. Unlike Taylor series, Laurent series include negative powers of (z - a). Use this expansion in annular regions where the function is analytic between two concentric circles to identify residues.

The theorem fails if the function is not analytic at every point inside the path. If the contour encloses a singularity, the integral is not zero. You must identify all poles within the region before assuming the integral vanishes. Always check the domain of analyticity first.

A zero radius of convergence means the Power Series converges only at the center point. This indicates the series does not represent an analytic function in any neighborhood. You cannot use such a series for differentiation or integration. You should re-examine the function for singularities at the center.

A transformation is not conformal at points where the derivative of the mapping function is zero. At these critical points, the mapping fails to preserve angles. You must identify these points to avoid distortion in your mapped domain. This is vital for fluid flow and heat problems.

You handle branch cuts by defining a specific boundary for multi-valued functions like logarithms or square roots. You must ensure the contour does not cross the branch cut. If the path must go around a branch point, you use a keyhole contour to maintain a single-valued function.

Liouvilleโ€™s Theorem proves that a bounded entire function must be a constant. You use this to prove the Fundamental Theorem of Algebra. It implies that any non-constant polynomial must have at least one complex root. This theorem restricts the behavior of functions analytic on the whole plane.

An essential singularity occurs when the principal part of the Laurent series has infinite terms. Unlike a pole, the limit of the function as it approaches an essential singularity does not exist. The Great Picard Theorem states the function takes almost every complex value near this point.

Get in Touch with Vedprep

Get an Instant Callback by our Mentor!


Get in touch


Latest Posts
Get in touch