Game Theory offers a mathematical structure applied in Operations Research for examining strategic exchanges among logical deliberators. It pinpoints the best courses of action in competitive settings where one participant’s result is contingent upon the selections made by others. This domain is vital for the RPSC Assistant Professor Maths Paper II study plan, encompassing both two-player constant-sum game diagrams and stock control.
Foundations of Game Theory in Operations Research
Game Theory offers the necessary analytical instruments to comprehend competitive conduct within the larger field of Operations Research. These mathematical frameworks are employed to forecast the actions of people or entities when their aims clash. The main aim is to discover an equilibrium point where no participant can better their result simply by altering their own approach. This study is a core component of the RPSC Assistant Professor Maths Paper II syllabus because it bridges pure mathematics and practical decision science.
Within Operations Research, Game Theory aids specialists in fine-tuning resource distribution amid unpredictability. It postulates that each participant acts logically, aiming to elevate their personal gain. You will notice these frameworks inform decisions in finance, defense tactics, and life sciences. For those readying themselves for the RPSC Assistant Professor Maths Paper II, grasping these ideas is crucial for tackling intricate optimization challenges involving diverse interested parties. The syllabus stresses moving beyond basic rivalry scenarios to advanced stock management setups.
Understanding the Two Person Zero Sum Game
A dual-player, zero-sum contest signifies a competitive scenario where one participant’s profit precisely matches the other’s deficit. Within this framework, the aggregate advantage for all involved parties stays fixed at nil. Should you accrue ten units, your adversary suffers an equivalent ten-unit reduction. This particular game format is a cornerstone for the RPSC Assistant Professor Maths Paper II as it introduces both the payoff table and minimax principles. It functions as the most basic yet highly clarifying instance of strategic opposition.
Determining the solution for two person zero sum game, constant-sum contest involves finding the game’s worth and the best approaches for each player. One seeks an equilibrium point where the greatest of the row lower bounds matches the smallest of the column upper bounds. Should such a point be found, the contest features a straightforward strategy. If not, participants must employ probabilistic tactics. This level of mathematical precision characterizes Operations Research and is a common element in the RPSC Assistant Professor Maths Paper II examination.
Mathematical Expressions and Formulas in Game Theory
Game Theory’s mathematical framework hinges upon exact specifications for outcomes and available courses of action. For scenarios involving two players with opposing outcomes, the payoff matrix A contains entries aij which denote the reward for the player choosing the row. As per Game Theory, the minimax principle asserts that a resolution always exists, utilizing either straightforward or probabilistic approaches. Within the RPSC Assistant Professor Maths Paper II, competence in deriving these figures via both algebraic and visual techniques is essential. These established procedures guarantee that Optimization problems attain unbiased correctness.
| Concept | Mathematical Formula / Expression | Description |
|---|---|---|
| Maximin Value | The best of the worst possible outcomes for the row player. | |
| Minimax Value | The best of the worst possible outcomes for the column player. | |
| Saddle Point Condition | ![]() |
Occurs when the game has a stable solution in pure strategies. |
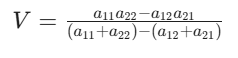
| Value of Game (2 × 2) | ![]() |
Calculates the expected gain in a game without a saddle point. |
| Mixed Strategy Probability | The probability with which the first player chooses the first row. |
Deterministic Inventory Models with Finite Replacement
Inventory management is a critical application of Operations Research that overlaps with Game Theory principles regarding optimization. A single item deterministic inventory model assumes that demand is known and constant over time. In models with finite replacement, the stock is replenished at a specific rate rather than instantaneously. You must calculate the Economic Order Quantity (EOQ) to minimize the total cost, which includes ordering and holding costs. This topic is a significant portion of the RPSC Assistant Professor Maths Paper II syllabus.
The finite replacement model is often called the Build up Model or the Production Consumption Model in Game Theory. Unlike the basic EOQ model, this approach accounts for the time required to produce or receive the items. You analyze the inventory level as it rises during the production phase and falls during the consumption phase. Understanding these dynamics is essential for any student of Operations Research. The RPSC Assistant Professor Maths Paper II requires you to derive and apply these formulas to find the optimal production lot size that minimizes expenses.
Probabilistic Inventory Models and Uncertainty
Probabilistic models in Operations Research address situations where demand is not a fixed number but a random variable with a known probability distribution. These approaches offer greater realism compared to fixed models as they incorporate variations in the marketplace and unpredictability in lead durations. Professionals employ these aids to establish the best safety stock levels and replenishment triggers to prevent shortages. This sophisticated deployment of Game Theory principles is crucial for applicants taking the RPSC Assistant Professor Maths Paper II examination.
In simple probabilistic models, you often focus on the Single Period Model or the Newsboy Problem. The goal is to balance the cost of overstocking against the cost of understocking. You utilize probability density functions to determine the service level that optimizes expected profit. Whereas Game Theory addresses strategic adversaries, these inventory models consider nature or the marketplace as the secondary participant. This viewpoint holds significant pertinence for the RPSC Assistant Professor Maths Paper II and wider explorations in Operations Research. Proficiency in these ideas readies candidates for the elevated benchmarks necessary for the RPSC Assistant Professor role.
Limitations of Standard Game Theory Models
A common mistake in applying Game Theory is assuming that all players always act with perfect rationality. If you rely solely on the minimax theorem without considering external factors, your strategic recommendations might be ineffective in practical scenarios.
It’s important to realize that numerous competitive scenarios aren’t truly zero-sum. Based on Game Theory, in many commercial and societal exchanges, working together can produce a mutual gain, boosting overall value. Using a strictly competitive, two-person framework for a situation where mutual benefit is possible can cause needless friction and yield outcomes that aren’t the best. For the RPSC Assistant Professor Maths Paper II, knowing when to employ competitive approaches versus seeking collaborative resolutions is key. This form of sharp insight separates leading applicants from typical students in Operations Research.
Practical Application in Academic Examinations
To prepare for the RPSC Assistant Professor Maths Paper II, one must thoroughly explore Game Theory and its connection to Operations Research. You’ll face questions demanding the simplification of a sizable payoff matrix via the dominance principle prior to implementing mixed strategy calculations. A good performance hinges on your skill to rapidly ascertain if a game possesses a saddle point or necessitates a chance-based method. This identical, strict reasoning extends to inventory models, where selecting between fixed and chance-driven methods is critical.
VedPrep aids scholars in mastering these demanding tests through organized instruction in areas such as Chemistry, Biology, Mathematics, and Physics. Regardless of whether the objective is the RPSC Assistant Professor Maths Paper II, the emphasis stays on clear understanding of concepts and rapid problem resolution. Practicing with actual data scenarios, like determining the EOQ for a production facility or calculating the worth of a two-person, non-cooperative game in a market entry context, cultivates the skill required for a high placement. Proficiency in Game Theory and Operations Research constitutes a crucial milestone toward a flourishing scholarly path.
Conclusion
Excelling in the RPSC Assistant Professor Maths Paper II hinges upon a profound grasp of tactical choices and mathematical refinement. Proficiency in the two-person constant-sum game and diverse stock management frameworks guarantees you can meet the intricate numerical hurdles found in the Operations Research curriculum. These elements underpin contemporary business and manufacturing assessments, rendering them vital for any prospective teaching career. By emphasizing clear concepts and thorough application, one can convert these abstract systems into tangible abilities for resolving issues. VedPrep stays committed to your achievement, providing targeted guidance and thorough resources for subjects such as Game Theory, crafted to support your aim of securing the RPSC Assistant Professor post.
Learn more in detail from our faculty. Watch our YouTube video:
Frequently Asked Questions (FAQs)
What defines a two person zero sum game?
A two person zero sum game is a competitive situation involving exactly two participants. In this model, the total gains of one player perfectly offset the total losses of the opponent. The sum of all outcomes equals zero. This framework helps identify stable strategies in strictly competitive environments.
How does Game Theory apply to the RPSC Assistant Professor Maths Paper II?
The RPSC Assistant Professor Maths Paper II syllabus includes Game Theory as a core component of Operations Research. Candidates must solve problems related to payoff matrices, saddle points, and mixed strategies. Mastering these quantitative methods is essential for scoring well in the mathematical sciences section of the exam.
What is a payoff matrix?
A payoff matrix is a visual representation of all possible outcomes in a game. Rows represent the strategies available to the first player while columns represent the strategies for the second player. Each cell contains the resulting gain or loss for the participants based on their combined choices.
How do you solve a game without a saddle point?
When a game lacks a saddle point, you must apply mixed strategies. This involves using probability to choose between available moves. You calculate the percentage of time each strategy should be used to maximize the expected value of the game for the player.
What are the primary inventory models in Operations Research?
Operations Research utilizes deterministic and probabilistic inventory models. Deterministic models assume constant demand and lead times. Probabilistic models account for random variables in market demand. Both systems aim to minimize total costs related to ordering, holding, and stockouts within an organization.
How do you calculate Economic Order Quantity for finite replacement?
The Economic Order Quantity for finite replacement accounts for a specific production rate. You use a formula that adjusts the standard EOQ based on the ratio of demand to the production rate. This calculation helps determine the optimal batch size for manufacturing environments.
Why might a Game Theory model fail in real life?
Game Theory models often assume perfect rationality and complete information. Real world participants may act based on emotion or limited data. If players do not follow the predicted mathematical logic, the equilibrium points identified in the model may not manifest in actual competition.
How do you handle non zero sum situations?
Non zero sum situations allow for cooperation where both players can win or lose simultaneously. You must shift from strictly competitive models to cooperative game theory. This approach analyzes how players can form coalitions to increase the total value available to all participants.
What happens if the production rate is lower than the demand rate?
If the production rate is lower than the demand rate, the inventory level will never increase. This creates a permanent stockout situation. In Operations Research, you must ensure the production rate exceeds demand for a finite replacement model to function correctly.
How do you adjust for lead time in inventory models?
Lead time represents the delay between placing an order and receiving stock. In deterministic models, you set the reorder point by multiplying the daily demand by the lead time. In probabilistic models, you must add safety stock to account for lead time variability.
What is the minimax theorem?
The minimax theorem states that every two person zero sum game has a solution in pure or mixed strategies. It guarantees that a player can minimize their maximum possible loss. This principle provides the mathematical foundation for finding stable outcomes in competitive Operations Research problems.
What characterizes a single item deterministic inventory model?
A single item deterministic model focuses on one product with a fixed demand rate. You assume that replenishment is either instantaneous or follows a set production rate. The primary goal is to balance ordering costs against carrying costs to find the minimum total expense.
What is the Newsboy Problem in Operations Research?
The Newsboy Problem is a single period probabilistic model. It determines the optimal order quantity for perishable items with uncertain demand. You balance the cost of understocking against the cost of overstocking to find the profit maximizing service level.
How does the principle of optimality apply to strategic games?
The principle of optimality suggests that an optimal policy has the property that regardless of the initial state, the remaining decisions must constitute an optimal policy. This concept is vital for multi stage games where choices made today influence the strategy sets available in the future.

